F1.0 レンズがフルカラー夜間監視の秘密である理由 |上海シルクオプティカル

光の数学: F1.0 が小さな一歩ではなく、大きな飛躍である理由

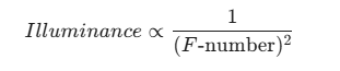
セキュリティ機器を購入または製造する場合、F2.0 レンズと F1.0 レンズを見て次のように考えがちです。たったの1.0の差ですよね?間違っている。光学の世界では、F 値は直線的に変化しません。 F ナンバー (または焦点比) は、レンズの焦点距離と入射瞳の直径の比です。レンズの集光力 (照度) の公式は、センサーに当たる光の量が F 値の 2 乗に反比例することを示しています。

したがって、F2.0 レンズと F1.0 レンズを比較すると、光取り込みの違いの計算は次のようになります。

F1.0 レンズは F2.0 レンズの 2 倍の光を与えるのではなく、ちょうど 4 倍の光を与えます。バケツに雨を溜めようとしているところを想像してみてください。 F1.0 へのアップグレードは、標準のバケツを子供用プールに交換するようなものです。 4 倍の量の周囲光子 (街灯、月、遠くの建物から) を最新の Starlight レベルのセンサーに集めるとき、カメラの画像信号プロセッサ (ISP) は人為的にゲインを高める必要がありません。
  • 低ゲイン = 低ノイズ:煩わしいデジタルの「雪」がなく、クリーンでシャープな画像が得られます。

  • ハイライト = フルカラー:センサーは、深夜であっても色を正確にレンダリングするのに十分な波長データを受信します。

落とし穴: どのレンズでも「F1.0」にすることができない理由

F1.0 がそれほど素晴らしいのであれば、なぜすべてのカメラに F1.0 が搭載されていないのでしょうか?あれだけの光を正確に曲げるのは信じられないほど難しいからです。

絞りをこれほど大きく開くと、光学的な混乱が生じます。レンズの端に当たる光線により、色収差 (紫色のフリンジ) が発生し、画像の隅に深刻なぼやけが発生します。 F1.0の絞りを制御するには、レンズの内部構造を巧みに設計する必要があります。

ここで、安価なプラスチックレンズとプロ仕様のガラスの区別が重要になります。

PL100 の登場: 7E 構造のパワー

Shanghai Silk Optical Technology Co., Ltd.では、PL100レンズ特に、ハイエンドのセキュリティおよびロボット工学アプリケーションにおける F1.0 エンジニアリングの課題を解決します。

1/2.7 センサーで F1.0 絞りで 2MP ~ 5MP の解像度を達成するには、非常に高い精度が必要です。標準的なプラスチック要素ではこれを達成することはできません。 PL100 は7E(セブンエレメント)オールガラス構造。それが収益にとって重要である理由は次のとおりです。

  • 比類のない透過率:ガラスはプラスチックよりも多くの光を通過させます。 F1.0 レンズの最終目的が光の取り込みを最大化することである場合、プラスチック要素を使用すると目的が達成できません。 7E ガラス構造により、捕捉された光子の最大量が実際にセンサーに到達することが保証されます。

  • 最高の熱安定性:防犯カメラは屋外に設置されています。夏は太陽で焼き、冬は凍ります。プラスチック レンズは温度変化によって膨張および収縮するため、焦点がわずかに移動し、完全に鮮明なカメラが時間の経過とともにぼやけてしまいます (熱ドリフトとして知られる現象)。ガラスは驚くほど安定しています。 PL100 の 7E 構造により、40°C であっても -20°C であっても、4mm の焦点距離が正確に 4mm に留まります。

  • 端から端までの明瞭さ:89° の広い水平 FOV を備え、正確に位置合わせされた 7 枚のガラス要素が、大規模な F1.0 絞りによって本質的に引き起こされる光学歪みを補正し、映像のエッジを中心と同じくらい鮮明に保ちます。

購買マネージャーとエンジニアに対する評決

フルカラーの夜間監視への移行は特別なことではありません。これはセキュリティ業界の新しい標準です。しかし、安価な絞りの狭いレンズの後ろにハイエンドの Starlight センサーを搭載するのは、ゴルフ カートにスポーツカーのエンジンを搭載するようなものです。

「補助光なしの色」を真に実現するには、全ガラス構造の熱安定性と高い透過率に裏打ちされた、F1.0 絞りの 4 倍の集光力が必要です。

(ハードウェア ラインナップをアップグレードする準備はできていますか?PL100 およびその他の精密光学レンズの完全な仕様については、こちらをご覧ください。)

お問い合わせを送信

X
当社は Cookie を使用して、より良いブラウジング体験を提供し、サイトのトラフィックを分析し、コンテンツをパーソナライズします。このサイトを使用すると、Cookie の使用に同意したことになります。 プライバシーポリシー
拒否する 受け入れる